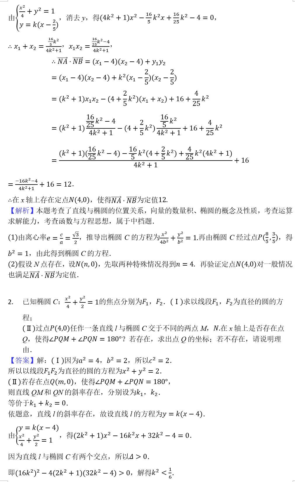
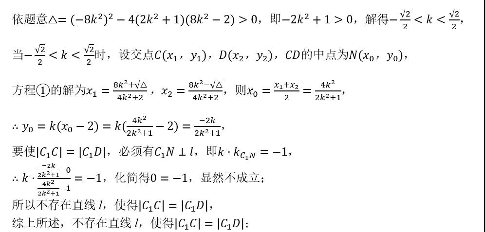
一、基本思路
(1)探究性問題,一般先對結論作肯定存在的假設,然后由此肯定的假設出發,結合已知條件進行推理論證.(2)若導出矛盾,則否定先前假設(否定型);若推出合理的結論,則說明假設正確(肯定型),由此得出問題的結論.(3)“假設——推證——定論”是解答此類問題的三個步驟.二、常用方法
(1)解決是否存在常數的問題時,應首先假設存在,看是否能求出符合條件的參數值,如果推出矛盾就不存在,否則就存在.(2)解決是否存在點的問題時,可依據條件,直接探究其結果;也可以舉特例,然后再證明.(3)解決是否存在直線的問題時,可依據條件尋找適合條件的直線方程,聯立方程消元得出一-元二次方程,利用判別式得出是否有解(存在). (4)解決是否存在最值問題時,可依據條件,得出函數解析式,依據解析式判定其最值是否存在,然后得出結論.


例題精選


參考答案










? 聲明:圖文來源于高考數學